Staging ::: VER CORREOS
Acceder
Blog Trading fractal
Blog Trading fractal

Blog Trading fractal

33 suscriptores
El método de las directrices
Le llamo método porque es un procedimiento para localizar distancias que proporcionan homotecias del siguiente conjunto borroso:Los números borrosos del conjunto son los siguientes:Cuando en una cotización aparece un máximo relevante, en lo ocurrido antes de ese máximo se puede aplicar este...
Timing de 87 días o 62 sesiones
Gerry Spence, uno de los más importantes abogados de EEUU (defendió y ganó el caso que había contra Imelda Marcos entre otros grandes juicios) dijo en cierto momento:“Prefiero que mi mente se abra movida por la curiosidad a que se cierre movida por la convicción”.La frase en castellano se ha ido...
El crecimiento fractal en las cotizaciones
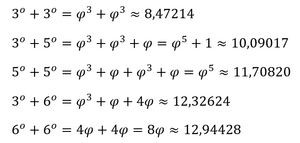
De la sucesión de Fibonacci (en realidad, de cualquier sucesión en la que un término -a partir del tercero- sea la suma de los dos anteriores) tenemos que en ellas se obtiene la razón áurea o número áureo del siguiente modo: Se lee: Phi minúscula, igual a Phi mayúscula, igual a Phi mayúscula sub...
Objetivos fractales a las segundas paralelas de directrices y contradirectrices
En este post explico diversos objetivos de precio que no nacen de homotecias de distancias, sino de otro tipo de afinidad: de reflexiones a una línea (que son un tipo de transformación lineal). Son objetivos que, en la propia construcción multifractal de las cotizaciones, nacen de la reflexión de...
En las cotizaciones no hay fractales. Son ellas fractales.
Son innumerables los lugares, artículos y demás que hablan (evidentemente sin saber) de los fractales en las cotizaciones, como si tales cosas existiesen. No. En las cotizaciones no hay fractales, sino que son ellas fractales.Un fractal no es un algo que se repita a lo largo de un conjunto, es el...
Expansivas I
Las expansivas descendentes, como el resto d expansivas y las contractivas comparten varios elementos, los principales son: quedar definidas por dos líneas directrices y que todas ellas proponen objetivos fractales de precio (y de timing) tanto alcistas como bajistas probables.
Saltimbanquis I
Después de diversos posts explicando someramente la multifractalidad de las cotizaciones y cómo se pueden deducir futuros objetivos de precio y de tiempo, llega el momento de comenzar por algo muy sencillo y que me atrevo a decir que ni conocéis.Existen diversas distancias generadoras de...
Tendencias: deconstrucción de lo existente
Hoy voy a destrozar un poco lo conocido sobre tendencias. No sé en qué momento se comenzó a hablar de tendencias en las cotizaciones, pero es probable que se hiciese ya cuando Charles Henry Dow se hizo amigo de Edward David Jones. Ambos, con posterioridad, en 1882, se unieron a Charles Milford...
Las cotizaciones simulan curvas y son multifractales: tienen memoria
Una cotización es simplemente una sucesión de ticks. Un tick se produce cuando la demanda iguala el precio de la oferta o esta iguala el de la demanda. Una orden a mercado hace tal cosa de inmediato y produce un tick bien por sí sola o porque se iguale a otras órdenes a mercado o de precio...
Jordi Ordiñana
Rankiano desde hace alrededor de 1 año

Las cotizaciones no solo son autoafines, sino que también tienen ciertos aspectos de autosimilitud. Las principales autosimilitudes son multihomotecias con ciertas dosis de probabilidad. Existen bastantes lugares muy distintos desde los que nacen tales homotecias probables. Matemáticamente, con conjuntos borrosos y con números borrosos se pueden explicar todos los procesos expansivos o de dilatación que proporcionan objetivos futuros de precio y lugares de timing muy probables.

Jordi Ordiñana - La madre del trading cuantitativo quizá sea el trading fractal.

Se habla sobre: